Станом на 20 лютого 2015 року розподіл снігового покриву території Закарпатської області нерівномірний.
Так, у низинних районах – снігу немає; в гірських районах – 20-90мм (20-105% норми); на високогір’ї – 100-230 мм (40-90% норми). Розподіл снігозапасів по басейнам річок області наступний: - р.Тиса - Вилок – 92 мм (61% норми); р.Ріка – Міжгір’я – 42 мм (28% норми); р.Боржава-В.Ремети, р.Латориця-Чоп, р.Уж - Ужгород – 8-16 мм (11-16% норми). Поточна водність річок становить 40-60% норми, у верхів’я утримуються незначні льодові явища.
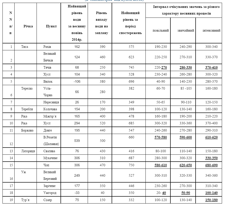
20 лютого 2015 року було проведено розрахунки максимальних рівнів весняної повені для лютого-березня за 4 можливих умов розвитку весняних процесів, а також відповідні їм максимальні рівні та витрати по 19 створам 8 річок Закарпатської області.
КОНСУЛЬТАЦІЯ ОЧІКУВАНИХ НАЙВИЩИХ РІВНІВ ВОДИ НА РІЧКАХ КАРПАТ ЗА РІЗНИХ СЦЕНАРІЇВ РОЗВИТКУ ПОГОДНИХ УМОВ ВЕСНОЮ 2015 р.
(в сантиметрах над нулем поста)

У випадку розвитку гідрометеорологічної ситуації за інтенсивного розвитку весняних процесів, коли в період інтенсивного сніготанення випадають дощі 50-100 мм, на більшості створів очікується формування максимальних рівнів води нижчих від середніх максимальних за багаторіччя, і тільки в нижніх течіях Боржави та Латориці – близьких до середніх максимальних за багаторіччя.
Вихід води на заплаву очікується в створах гідрологічних постів Тиса-Тячів, Боржава-В.Ремети, Латориця-Мукачево, Латориця-Чоп, Уж-Ужгород, Тур’я-Сімер.
Негативних наслідків від максимальних рівнів водопілля слід очікувати в нижніх течіях річок:
- Латориця, де кожну весну відмічається довготермінове утримання води на заплаві міждамбового простору;
- р.Боржава, де починаючи з рівня води 545 см над нулем поста, відбувається підтоплення сільгоспугідь сіл Заріччя, Кам’янське, В.Комяти, Боржавське, автодороги Виноградове-Шаланки.
Об’єм весняного водопілля буде залежати від перебігу весняних процесів кінця лютого-березня місяців.
Нестабільність погодних умов та ймовірність досить різких їх змін, які неможливо передбачити із великою завчасністю, вимагають постійного контролю за гідрометеорологічною ситуацією, її постійного аналізу, випуску та доведення оперативно-прогностичних інформацій, повідомлень і попереджень до споживачів усіх рівнів. В разі різких змін гідрометеорологічної ситуації та по мірі розвитку весняного водопілля наведені у випуску прогнози будуть уточнюватися, - повідомляє начальник Закарпатського ЦГМ В.Манівчук.